Страхование, кредиты, ПДД, и т.д.
oleg_t
- oleg_t
- Сообщений: 8976
- Зарегистрирован: Вс июн 14, 2009 21:29:59
- Откуда: Киев, Осокорки
- Авто: Qashqai 2007 2.0 4х4 CVT Silver Евросвет; ГБО BRC p&d
Re: Выбор страховой для КАСКО
Вт окт 03, 2017 11:30:19
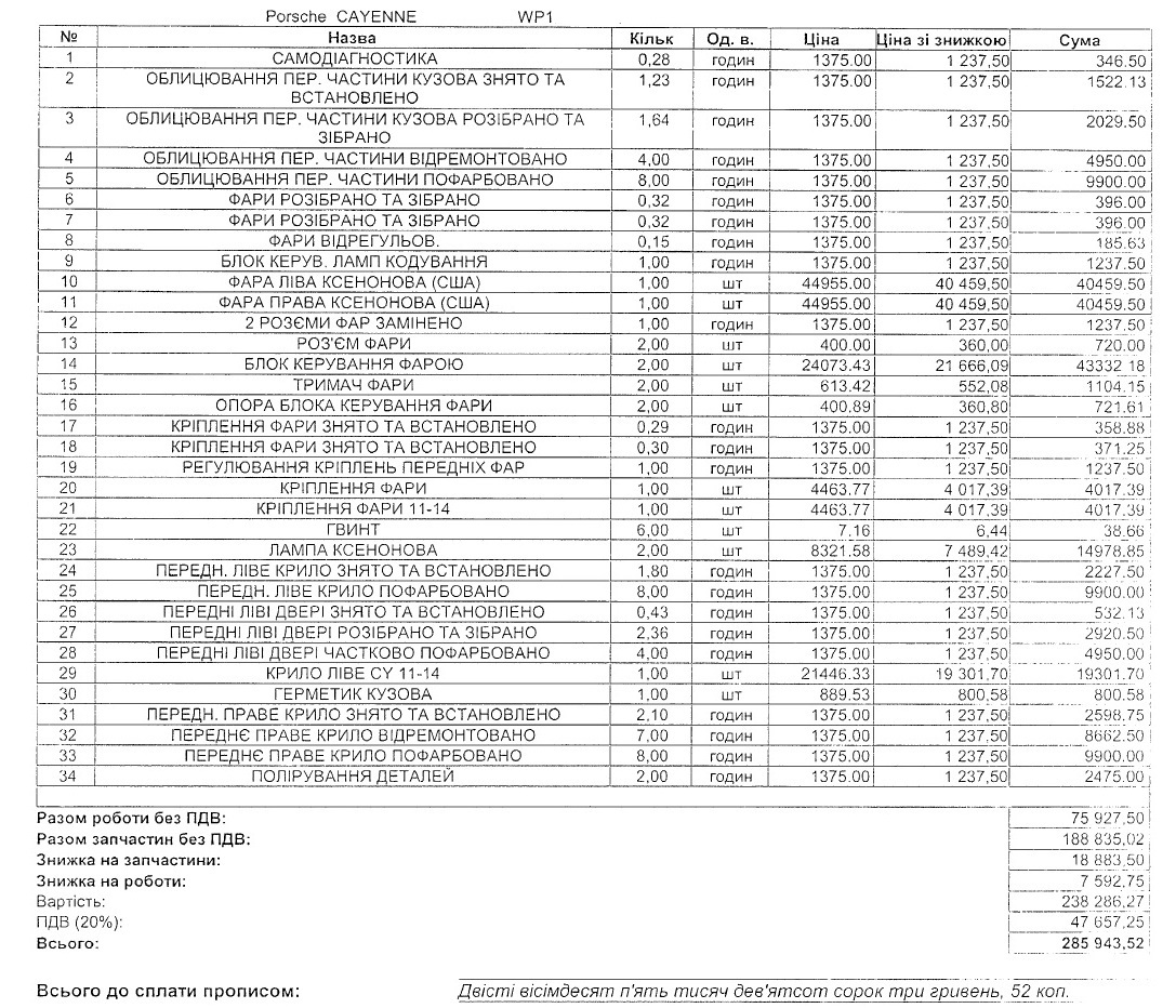
К вопросу о том, зачем нужна страховка.
У клиента на Порш Каен украли фары.
Счет фирменной СТО - 286 тыс.грн. Это со скидкой.
Фары + блоки управления + лампы + крепления + крылья, и т.д.
Фары были закреплены специальными тросами - не помогло, сломали крылья и вытянули.
P.S. Кому нужна страховка - милости просим, обращайтесь.
oleg_t
- oleg_t
- Сообщений: 8976
- Зарегистрирован: Вс июн 14, 2009 21:29:59
- Откуда: Киев, Осокорки
- Авто: Qashqai 2007 2.0 4х4 CVT Silver Евросвет; ГБО BRC p&d
Re: Выбор страховой для КАСКО
Вт окт 03, 2017 13:11:34
Думаю всем понятно что в такую машину только с одной автогражданкой лучше не въезжать, т.к. 100 тыс.грн. не хватит даже на две фары.
К автогражданке рекомендую докупать ДГО на максимальную сумму.
ДГО на 1 млн.грн. - 1500 грн.
oleg_t
- oleg_t
- Сообщений: 8976
- Зарегистрирован: Вс июн 14, 2009 21:29:59
- Откуда: Киев, Осокорки
- Авто: Qashqai 2007 2.0 4х4 CVT Silver Евросвет; ГБО BRC p&d
Re: Выбор страховой для КАСКО
Вт окт 03, 2017 13:14:35
oreh
- oreh
- Сообщений: 9561
- Зарегистрирован: Вт май 06, 2008 16:42:22
- Откуда: Харьков
- Авто: Nissan Qashqai, 2.0CVT, 4WD, Tekna Pack
Re: Выбор страховой для КАСКО
Вт окт 03, 2017 13:47:52
1375 грн нормочас? интересно, а сколько у других и что по этому поводу говорит страховая?
Герметик >800грн?!
Ксеноновая лампа больше 8штук?
Или это еще и без НДС? Похоже, что без
Ну я не знаю, ощущение, что это не просто наеб-во, а наеб-во в квадрате
oleg_t
- oleg_t
- Сообщений: 8976
- Зарегистрирован: Вс июн 14, 2009 21:29:59
- Откуда: Киев, Осокорки
- Авто: Qashqai 2007 2.0 4х4 CVT Silver Евросвет; ГБО BRC p&d
Re: Выбор страховой для КАСКО
Вт окт 03, 2017 14:15:59
У всех фирменных СТО примерно одинаковая ценовая политика.
И пока машина на гарантии, клиенты настаивают на ремонте на фирменных СТО, и это прописано в договорах.
При этом качество работ там обычно не выше среднего.
Некоторые модели дорогих машин уже не берем на страхование.
BH/BX
- BH/BX
- Сообщений: 419
- Зарегистрирован: Ср июл 16, 2008 14:00:45
- Откуда: 46°28'N 30°44'E
- Авто: Qashqai Tekna Pack 2.0 CVT 4WD
Re: Выбор страховой для КАСКО
Ср ноя 08, 2017 13:51:40
Здравствуйте. Попробую задать вопрос. 21.06.17 попал в ДТП. В «тянучке» меня догнали. Я через пару дней уехал и только вот вернулся. Всем занималась жена- оценкой, экспертизой и тд. Около месяца назад пакет документов был отослан в страховую, вернее их представителям. Сегодня позвонил, чтобы узнать на каком свете находится моё дело. И узнал, что данная страховая лишена лицензии в конце прошлого года. И идёт процесс банкротства. И выплату мне произведёт МТСБУ. Но это произойдёт только после признания страховой банкротом. А этот процесс, как меня заверяли, очень долгий.. можно ждать годами. Вопрос - что делать?) Ждать и надеятся ? Или есть какие то решения, так как это не первая страховая, я так думаю, которая пошла по этому пути, кинув с выплатами .
oleg_t
- oleg_t
- Сообщений: 8976
- Зарегистрирован: Вс июн 14, 2009 21:29:59
- Откуда: Киев, Осокорки
- Авто: Qashqai 2007 2.0 4х4 CVT Silver Евросвет; ГБО BRC p&d
Re: Выбор страховой для КАСКО
Ср ноя 08, 2017 14:19:54
BH/BXКак раз для таких случаев недавно появилась новая услуга:
http://fremont.com.ua/Они ремонтируют тебе автомобиль, а ты передаешь им право на получение страховой выплаты.
Лично я не пользовался и детально не знаю как это работает, только читал их рекламу.
Иначе придется долго и нудно ждать выплату от МТСБУ, и не факт что оплатят в полном объеме.
BH/BX
- BH/BX
- Сообщений: 419
- Зарегистрирован: Ср июл 16, 2008 14:00:45
- Откуда: 46°28'N 30°44'E
- Авто: Qashqai Tekna Pack 2.0 CVT 4WD
Re: Выбор страховой для КАСКО
Ср ноя 08, 2017 16:52:26
Интересное предложение. Спасибо. Попробую поискать отзывы. Но сейчас столько обмана в этом мире) как бы ещё хуже не вышло. Они находятся только в Киеве, судя по сайту
oleg_t
- oleg_t
- Сообщений: 8976
- Зарегистрирован: Вс июн 14, 2009 21:29:59
- Откуда: Киев, Осокорки
- Авто: Qashqai 2007 2.0 4х4 CVT Silver Евросвет; ГБО BRC p&d
Re: Выбор страховой для КАСКО
Ср ноя 08, 2017 18:47:46
Там серьезные люди эту тему придумали, не должно быть обмана.
BH/BX
- BH/BX
- Сообщений: 419
- Зарегистрирован: Ср июл 16, 2008 14:00:45
- Откуда: 46°28'N 30°44'E
- Авто: Qashqai Tekna Pack 2.0 CVT 4WD
Выбор страховой для КАСКО
Пн ноя 27, 2017 13:18:52
Ещё спрошу мнение, с позволения. Обозначу для ясности названия компаний.
Страховая виновника - Ильичевская. Ассистирующая компания, которая ведёт дела СК - Финанс Лайн( наверное, очень знакома людям, вращающимся в этой сфере). Предложили «забрать» долг по выплате и представлять мои интересы в суде и других инстанциях .. всего лишь за 10 проц. Ну и 1500 грн.
Стоит ли связываться ? Понятно, что это одна шайка- лейка теперь и целью является выбить побольше денег с МТСБУ. Или лучше самостоятельно подавать на виновника ДТП и вторым ответчиком привлекать СК?
oleg_t
- oleg_t
- Сообщений: 8976
- Зарегистрирован: Вс июн 14, 2009 21:29:59
- Откуда: Киев, Осокорки
- Авто: Qashqai 2007 2.0 4х4 CVT Silver Евросвет; ГБО BRC p&d
Re: Выбор страховой для КАСКО
Пн ноя 27, 2017 13:39:37
За Ильичевскую выплачивать будет МТСБУ, вот к ним и нужно обращаться.
Думаю что суд скажет то же самое, поэтому нет смысла тратить время и деньги на суд.
Да, были решения по которым заплатить обязывали виновника ДТП даже при наличии страховки, но это исключение из правил и у нас не прецедентное право.
Если у виновника есть страховка - платить должна страховая, если страховая банкрот - за нее платит МТСБУ.
BH/BX
- BH/BX
- Сообщений: 419
- Зарегистрирован: Ср июл 16, 2008 14:00:45
- Откуда: 46°28'N 30°44'E
- Авто: Qashqai Tekna Pack 2.0 CVT 4WD
Re: Выбор страховой для КАСКО
Пн ноя 27, 2017 21:40:55
Согласен, что, возможно, заранее проигрышный вариант с судом с виновником. Хотя выигрышные дела есть. Но МТСБУ выплатит (или выплатит ли..) только после признания банкротом СК. А это года... и много заинтересованных людей затянуть это. Но я спрашивал больше про Финанс Лайн, которое скупает СК у «хозяев», а потом пытается скупить долги по выплатам у потерпевших.. потом судится сама с собой и, якобы, выбьет для таких как я деньги у МТСБУ за минусом своего интереса. Если оглянуться на пять лет назад, то проблемных СК было много, некоторые банкротят до сих пор. .. В общем, есть ли шанс отдав свой долг по выплате Финанс лайну получить деньги за ремонт в перспективе ? А не остаться с разбитым корытом в итоге, Так как им на руку затянуть рассмотрение дел по выплатам на подольше ? И уменьшить судовую нагрузку..
oleg_t
- oleg_t
- Сообщений: 8976
- Зарегистрирован: Вс июн 14, 2009 21:29:59
- Откуда: Киев, Осокорки
- Авто: Qashqai 2007 2.0 4х4 CVT Silver Евросвет; ГБО BRC p&d
Re: Выбор страховой для КАСКО
Пн ноя 27, 2017 21:46:05
Я бы в азартные игры в нашей стране не играл.
"Финанс Лайн" сегодня есть, а завтра его нет.
P.S. Честно говоря, вопросом не владею

с Финанс Лайн дел не имел и отзывов не знаю.
oleg_t
- oleg_t
- Сообщений: 8976
- Зарегистрирован: Вс июн 14, 2009 21:29:59
- Откуда: Киев, Осокорки
- Авто: Qashqai 2007 2.0 4х4 CVT Silver Евросвет; ГБО BRC p&d
Re: Выбор страховой для КАСКО
Чт фев 15, 2018 14:58:09
-
up!
Кому нужны страховки от надежной международной СК (Каско, Осаго, ДГО, имущество и т.д.) - обращайтесь!
-
oleg_t
- oleg_t
- Сообщений: 8976
- Зарегистрирован: Вс июн 14, 2009 21:29:59
- Откуда: Киев, Осокорки
- Авто: Qashqai 2007 2.0 4х4 CVT Silver Евросвет; ГБО BRC p&d
Re: Выбор страховой для КАСКО
Пн апр 23, 2018 14:31:10
-
Всем привет!
Кому нужны страховки от надежной международной СК (Каско, Осаго, ДГО, имущество и т.д.) - обращайтесь!
Мой телефон можно найти по ссылке внизу этого сообщения.
http://qashqai-club.com/forum/viewtopic ... 70&t=10956
Powered by phpBB © phpBB Group.
phpBB Mobile / SEO by Artodia.